tldr: mathematical debates get wild
Have you ever wondered how other people perceive the world? Not simply empathizing with them, but more so how they *see* things. For example, we can arbitrarily agree that a Granny Smith apple is green, but what if what I perceive as green is what you see as my orange? When it comes to colors [or words in general], how we define a concept feels completely random.
Similarly, even how one thinks changes from person to person. Some people, including myself, think in clear and complete sentences. I attribute this to my wanting to be a professor, because my inner monologue talks like it is giving an 18.01 lecture to an entire auditorium. If you are like me, you may find it shocking that others don’t think like that– some people think in abstract unspoken thoughts. Like pools of information to be tapped into.
I would have to imagine that if how our minds think is different, then our perceptions of the world around us are fundamentally different too. Sadly, one’s conscious can never truly know how another one functions.
However, in mathematics, it is relatively easy to change our outlook on a concept– sometimes changing symbols or variables can shift your entire perspective.
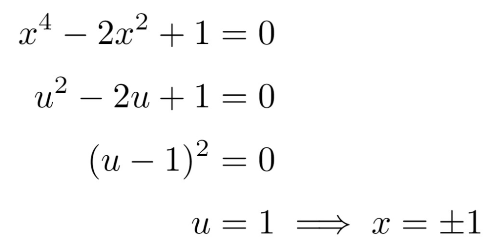
For example, consider the following equation:

When high school algebra students, who have only been solving quadratics for months on end, first see this problem, they might be completely stumped on how to solve it. But if you simply change x2 to another variable u, it suddenly goes back to being a boring quadratic:

Similar ideas occur higher up in mathematics regarding what symbols should be the convention. A classic example of this is the number tau (pronounced like cow, but with a t). Tau, has a very simple definition:

You may wonder why we even care— I mean, tau is just a multiple of pi. However! The use of 2pi comes up ALL THE TIME. It is almost shockingly common to be used in a formula, from the area of a circle to Fourier transforms. And thus begins the debate: should we use tau or pi?

In my opinion, tau is greater than pi… because it is. My high school friends and I made this joke so often, we had t-shirts. [Fun fact: this was the shirt I wore to my MIT interview.] Now, did we ever use it in our day-to-day computations? No, of course not, because it isn’t convention to do so. In fact, in Physics, tau is used for Torque. But the shirt was a nice head-nod to any fellow math nerds that understood what it meant, or at the very least an interesting discussion topic.
While the statement “tau is greater than pi” is mathematically true, I personally prefer the use of pi. There is something so elegant about the area of a circle equaling pi*r2.
Nonetheless, it is worth being on the lookout for 2pi given how often this constant shows up. I personally never fully noticed or appreciated it until I knew how hard people fought to give 2pi its own name.
Had I learned that the area of a circle was

maybe I would’ve seen mathematics completely differently, similar to if we lived in a Base 8 world. I think that is one of the great things about maths: you can so easily change your perspective. Mathematicians can throw out axioms and practically create a new field of mathematics, and they can have a heated discussion on why one of the most famous constants shouldn’t be used.
Paige
2 thoughts on “026. To Pi or Two Pi”